С. ЕЛИМОВ,
г. Чебоксары
Автор этой статьи провел экспериментальную работу по исследованию характеристик различных генераторов на микросхемах структуры КМОП. В результате он отобрал несколько наиболее интересных, на его взгляд, вариантов их исполнения.
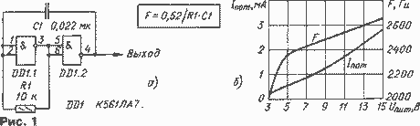
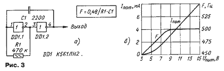
В предлагаемой статье кратко описаны несколько схемных решений генератора прямоугольных импульсов, построенного на различных микросхемах серии К561. По своей структуре статья — сравнительно-справочная. К каждой схеме дан перечень параметров и осо бенностей (см. таблицу), а также гра фические зависимости потребляемого тока и генерируемой частоты от напря жения питания.
| Генератор по схеме на рисунке | Нижний придел сопротивления резистора R1, кОм | Наибольшая частота генерации в МГц | Минимальное напряжение питания, В | Изменение частоты при нагревании до 85°C, % | Скважность выходных импульсов |
| 1,a | 1 | 2 | 2 | -4 | 2 |
| 2,a | 1 | 2 | 4 | 4 | 2 |
| 3,a | 0,56 | 2 | 2,5 | -5 | >2 |
| 4,a | 0,56 | 2 | 2 | +2,5 | <2 |
| 5,a | — | 1,3 | 3 | — | <2 |
| 6,a | 1 | 1 | 1,4 | -11 | >2 |
Кроме этого, для каждого генератора указана формула, позволяющая вычислять значение генерируемой частоты в зависимости от номиналов элементов частотоэадающей цепи (частота—в герцах, сопротивление — в омах, емкость — в фарадах, индуктивность — в генри; более удобно, кстати, для RC-генераторов; частота — в килогерцах, сопротивление — в килоомах, емкость — в микрофара дах; для LC-генераторов: частота — в мегагерцах, емкость — в нанофара- дах, индуктивность — в миллигенри). Расчетные формулы для ряда генераторов получены опытным путем.
Все представляемые в статье характеристики рассматриваемых генераторов получены в результате экспериментов с конкретными образцами микросхем, С другими экземплярами микросхем характеристики могут быть несколько отличными. Формулы для расчета частоты соответствуют напряжению питания 5В и температуре окружающей среды 25°С- Нагрузочная способность генераторов такая же, как у элементов микросхем серии К561. Верхняя граница напряжения питания генераторов также определена применяемой серией микросхем и равна 15 В, а нижний указана в таблице. Верхний предел сопротивления резисторов я установил из практических соображений на уровне 40 МОм.
В генераторах с емкостной положительной обратной связью амплитуда импульсов на входе элемента может превысить напряжение питания. В этих случаях открываются входные защитные диоды, и через них начинает протекать ток. Для ограничения этого тока во входную цепь приходится устанавливать резистор сопротивлением 1…150 кОм, как это указано в [1] и использовано в [2].
Все рассмотренные в этой статье генераторы имеют мягкое возбуждение. Иначе говоря, как бы медленно ни увеличивалось напряжение литания, генератор все равно заработает.
Генератор на элементах 2И—НЕ (рис. 1, а) стал уже классическим и известен по большому числу публикаций. Он сохраняет работоспособность при понижении напряжения питания Uпит до 2 В, при этом, правда, значительно уменьшается частота генерации. Скважность импульсов близка к двум при любом напряжении питания. В результате разогреваний корпуса микросхемы частота несколько уменьшается (на 4% при 85°С).

Подобный генератор может быть выполнен и на двух логических элементах 2ИЛИ—НЕ (рис. 2,а), на двух инверторах (рис, 3,а), а также на трех инверторах (рис. 4,а), Подробности о работе и различиях генераторов на двух и трех инверторах можно узнать из [3], Отметим, что у генератора на элементах 2ИЛИ-—НЕ частота генерации практически не зависит от температуры корпуса микросхемы, а у генераторов на инверторах частота очень стабильна на участке 9…15 В.



На рис. 5,а показана схема простейшего LC-генератора с логическим элементом 2И—НЕ, LC-цепь сдвигает фазу выходного сигнала элемента на 180 град., в результате этого происходит самовозбуждение генератора. Такие генераторы хорошо работают на повышенных значениях частоты, мягко возбуждаются и отличаются высокой температурной стабильностью [3].

При увеличении частоты сверх 1,3 МГц амплитуда выходных импульсов начинает падать.
В генераторе могут также работать элементы 2ИЛИ—НЕ. причем в этом случае он вырабатывает не прямоугольные импульсы, а колебании, по форме близкие к синусоидальным.
Для устойчивой работы генератора волновое сопротивление LC-контура p=v(L/C) не должно быть менее 2 кОм, Частота генерации практически совпадает с резонансной частотой LC-контура. Достоинство генератора — высокая температурная стабильность частоты.

Подобные по структуре генераторы можно выполнить на одном элементе -— триггере Шмитта (рис. 6,а). При напряжении питаниял близком к максимальному, они весьма стабильны по частоте. Кроме того, они исключительно экономичны — при напряжении питания менее 6 В потребляют ток всего в несколько десятков микроампер.
ЛИТЕРАТУРА
- Бирюков С, А, Цифровые устройства на МОП-итеграпьных микросхемах, вып. 1132, С. 60-65; вып. 1220,с. 105-111. — М.; Радио и связь, 1990; 1996 (МРБ).
- Нечаев И. Пробник логический без источника питания. — Радио, 1990, № 10, с. 83,84.
- Бирюков С. Генераторы и формиро ватели импульсов на микросхемах КМОП, — Радио, 1995, №7, с. 36, 37.
- Киверин Н. LC-генератор на логичес ких элементах. — Радио, 1990. №7, с. 55.
Радио №1, 2000, ст.44,45.
